La polarizzazione delle idee domina lo scontro nella società dei social. Nella diversità delle opinioni si nasconde l’antidoto a questa situazione. Ce ne parla Marco Menale per La Lente Matematica.
Le dinamiche dei social son basate, ahinoi, soprattutto sui litigi. Specchio di quanto accade nella società. Negli ultimi anni i temi non sono mancati: dalla pandemia di COVID-19 alla questione Russia-Ucraina, fino ai più recenti avvenimenti a Gaza. Se in una prima fase c’è l’emotività, ecco poi arrivare lei: la polarizzazione delle opinioni. Si formano blocchi contrapposti su posizioni sempre più estreme e distanti tra loro. Il dialogo è nullo nei toni sempre più aspri delle camere d’eco. Sono situazioni di grande complessità ed è difficile trovare soluzioni semplici o scorciatoie. Tuttavia, anche solo a livello qualitativo, una strada è indicata da un recente modello matematico che mostra come una maggiore ricchezza di diversità tra coloro che esprimono opinioni ascoltate da molti potrebbe contribuire a migliorare questa situazione.
Il modello è stato presentato nell’articolo “Social network heterogeneity promotes depolarization of multidimensional correlated opinions” da Jaume Ojer, Michele Starnini e Romualdo Pastor-Satorras nel 2025. Usando teoria dei grafi, campo medio e probabilità, è descritto un modello di dinamica delle opinioni dove le persone interagiscono su una rete rappresentata come un grafo. Qualcosa di simile a diversi modelli cinetici di dinamica delle opinioni già sviluppati negli ultimi anni.
Passiamo al modello. Ogni individuo è caratterizzato dal vettore \(\mathbf{x}_i\) delle sue opinioni su più temi: economici, ambientali, politici o sociali. Questa impostazione vettoriale è una prima novità. Le connessioni tra coppie di individui sono rappresentate da una matrice di adiacenza \(A\) tale che: \(a_{ij}=1\) se gli individui \(i\) e \(j\) sono connessi tra loro, altrimenti vale \(0\). Due meccanismi regolano l’evoluzione delle opinioni. Da un lato, l’influenza sociale, che spinge ciascuno ad allinearsi ai propri contatti. Dall’altro, la testardaggine personale, cioè la tendenza a mantenere la propria opinione originaria \(\mathbf{n}_i\). La dinamica di evoluzione dell’opinione è data dall’equazione
\[\frac{d\mathbf{x}_i}{dt}=\lambda \sum_{j}a_{ij}(\mathbf{x}_j-\mathbf{x}_i)+\eta (\mathbf{x}_i-\mathbf{n}_i),\]
dove \(\lambda\) e \(\eta\) regolano i due meccanismi opposti della dinamica d’opinione: il primo regola l’influenza sociale di ciascun individuo sugli altri, mentre il secondo è la tendenza di un individuo a non abbandonare la propria posizione.
Il parametro chiave del modello è
\[r=\frac{1}{N}\left|\sum_{i}\mathbf{x}_i\right|\]
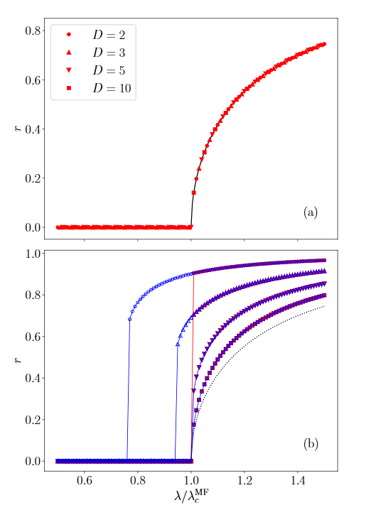
che è una sorta di livello di accordo. Più è \(r\) è vicino a \(0\), più c’è polarizzazione, mentre più si avvicina a \(1\) più c’è consenso nella popolazione. E il suo valore dipende dai parametri del sistema, come mostrato in Figura 1.

Figura 1. Andamento del coefficiente \(r\) in funzione del parametro \(\lambda\). Fonte: Social network heterogeneity promotes depolarization of multidimensional correlated opinions.
Tralasciando i dettagli matematici (che i più curiosi trovano nell’articolo), gli autori ottengono risultati interessanti dalle simulazioni numeriche. Nelle reti eterogenee, dove pochi nodi possiedono moltissimi legami e molti ne hanno pochissimi, la soglia di influenza necessaria per raggiungere il consenso si abbassa, fino quasi a scomparire. Più esistono hub, nodi fortemente connessi, una sorta di influencer, più diventa facile influenzare gli altri e raggiungere un accordo. In questo senso, gli hub agiscono come centri di sincronizzazione, capaci di collegare rapidamente parti lontane della rete e di smorzare le divergenze. Quindi gli hub sono i fattori di depolarizzazione. Tuttavia, la stessa caratteristica può produrre l’effetto opposto. Se gli hub partono con opinioni simili o fortemente correlate, la loro influenza combinata rinforza un solo orientamento: la rete si blocca in uno stato polarizzato. Dunque, è nella diversità degli hub che si nasconde il segreto della depolarizzazione.
Sebbene alcune semplificazioni, a detta degli stessi autori dell’articolo, il modello conferma a livello matematico qualcosa che sperimentiamo quotidianamente sui social: è nella diversità delle voci più influenti che si può trasformare il conflitto polarizzato in dialogo.












